German Evangelical Reformed Church
Brooklyn, NY
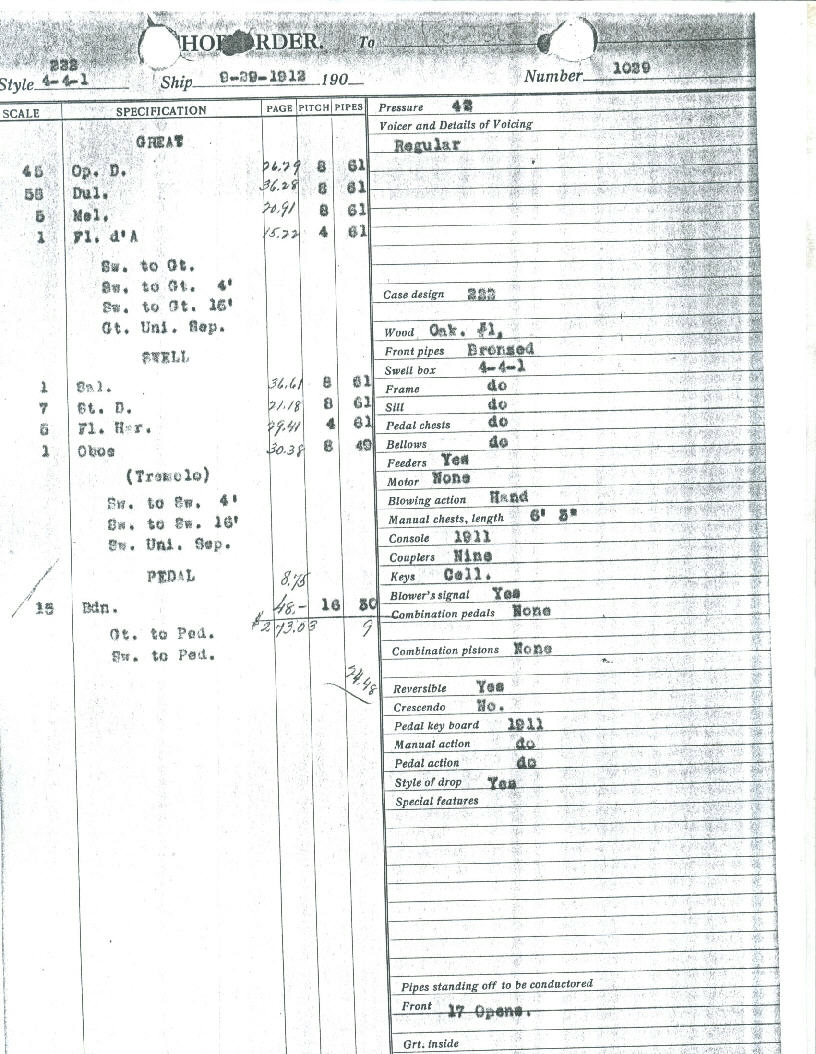
Opus 1029

 



 

Great
8 Open Diapason
8 Melodia
8 Dulciana
4 Flute d'Amour
   Gt Unison Off
   Sw to Gt 16-8-4

Swell
8 Stopped Diapason
8 Salicional
4 Flute Harmonic
8 Oboe (TC)
   Tremolo
   Sw to Sw 16-4
   Sw Unison OFf

Pedal
16 Bourdon
    Gt to Ped
    Sw to Ped

 

Shop Order



 
Sources
Estey Opus List 
Shop Order 
  
 

Back