W.F. Frederick Piano Co.
Pittsburgh, PA
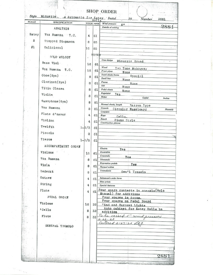
Opus 2881



Analysis
Vox Humana            61 pipes
Stopped Diapason    85 pipes
Salicional                  85 pipes

Solo Melody
16 Bass Viol
16 Vox Humana (TC)
  8 Oboe (Synth.)
  8 Clarinet (Synth.)
  8 Tibia Clausa
  8 Violin
  8 Saxophone (Synth.)
  8 Vox Humana
  4 Flute d'Amour
  4 Violina
  2 2/3 Twelfth
  2 Piccolo
  1 3/5 Tierce

Accompaniment Organ
16 Violone
  8 Vox Humana
  8 Viola
  8 Gedeckt
  4 Octave
  4 String
  4 Flute

Pedal Organ
16 Violone
  8 Cello
  8 Flute

General Tremolo
 

 
 

Click Here for Additional Pictures

 
Sources
Estey Opus List
Shop Order
Robert Taylor


Back